游戏开发中的数学:点到直线与平面距离的数学推导与实现
- 作者: 刘杰
- 来源: 技术那些事
- 阅读:568
- 发布: 2025-06-30 09:46
- 最后更新: 2025-06-30 09:46
点到直线的距离公式
任意一条直线:$ax + by + c = 0$,$A(x_0, y_0)$ ,求点$A$ 到直线的距离?
求一个向量在另一向量方向上投影的长度,可以推出如下结果:
$$ |AD| = |AB|cos \theta = |\overrightarrow AB| \cdot \begin{vmatrix} \frac{\overrightarrow AB \cdot \overrightarrow AC}{|\overrightarrow AB| \cdot |\overrightarrow AC|} \end{vmatrix} = \begin{vmatrix} \overrightarrow AB \cdot \frac{\overrightarrow AC}{|\overrightarrow AC|} \end{vmatrix} $$
所以点 $A$ 到直线的距离,可以看成 $\overrightarrow AB$ 在 $\overrightarrow AC$ 方向上的投影。$|AC| = |\overrightarrow AB \cdot \frac{\overrightarrow AC}{|\overrightarrow AC|}| = |\overrightarrow AB \cdot \vec{n}|$ ,$n$ 是直线的法向量。根据直线方程:$ax + by + c = 0$,转化成笛卡尔坐标形式方程为:$ax + c = -by => \frac{x + \frac{c}{ab}}{b} = \frac{y}{-a} => 直线的方向向量为:(b, -a) => 直线的法向量:\vec{n} = (a, b)$ 。
根据投影的计算公式可得,$|\overrightarrow AB \cdot \frac{\vec{n}}{|\vec{n}|}| =|(x_1 - x_0, y_1 - y_0) \cdot \frac{(a, b)}{\sqrt{a^2 + b^2}}| = \frac{1}{\sqrt{a^2 + b^2}} |a(x_1 - x_0) + b(y_1 - y_0)| = \frac{|ax_0 + by_0 + c|}{\sqrt{a^2 + b^2}}$
任意一点 $A(x_0, y_0)$ 到直线 $ax + by + c = 0$ 的距离公式可以记作:
$$ |AC| = \frac{|ax_0 + by_0 + c|}{\sqrt{a^2 + b^2}} $$
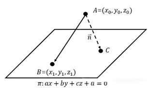
点到面的距离公式
求点$A(x_0, y_0, z_0)$ 到平面 $\pi:ax + by + cz + d = 0$ 的距离。
与点到直线的距离做法类似,先在平面 $\pi$ 上找一点 $B(x_1, y_1, z_1)$,根据平面方程有:$ax_1 + by_1 + cz_1 - d = 0$,平面 $\pi$ 的法向量 $n = (a, b, c)$。

$|AC| = |\overrightarrow AB \cdot \frac{\vec{n}}{|\vec{n}|}|$ 可以进一步推导出:
点 $A(x_0, y_0, z_0)$ 到平面 $\pi:ax + by +cz + d = 0$ 的距离:
$$ |AC| = \frac{|ax_0 + by_0 + cz_0 + d|}{\sqrt{a^2+b^2+c^2}} $$
n 维空间中,点 A 到 n 维超平面的距离
$A(x_0, x_1, x_2, ... , x_n)$,超平面 $\pi$ :$a_0y_0 + a_1y_1 + a_2y_2 + \cdots + a_ny_n + d = 0$,则点 $A$ 到 $n$ 维超平面 $\pi$ 的距离为:
$$ |AC| = \frac{|a_0x_0 + a_1x_1 + a_2x_2 + \cdots + a_nx_n + d|}{\sqrt{a_0^2 + a_1^2 + \cdots + a_n^2}} $$